近年来随着人们对于环保的日益重视,以及相关技术的不断成熟,新能源汽车产业快速发展。新能源汽车的电池包主要由单体电池、模组和电池管理系统(BMS)等部分构成,其中BMS不仅需要对电池进行充放电管理,还需要对电池使用过程中的SoC、SoH等指标进行分析预测,这些指标对于动力电池的安全使用具有重要的意义,因此如何准确的对动力电池的这些参数进行预测就显得尤为重要。
加拿大麦克马斯特大学的Ryan Ahmed(第一作者)等人采用基于等效电路的模型对动力电池在不同使用工况下电池的SoH状态进行了预测分析。
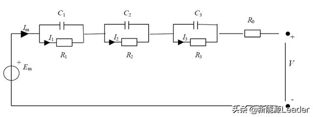
常见的电池模型主要包括等效电路模型,经验模型和电化学模型等几种类型,其中等效电路模型是采用RC电路为基本构成要素组成的能够模拟锂离子电池放电过程中电压变化的电路,该方法相对简单,对于计算能力的要求也较低,因此可以非常方便的移植到BMS系统之中。
以往的研究中,学者们通常采用单一的循环制度对电池进行寿命测试和模型分析,但是在实际中动力电池的使用工况是非常复杂的,因此在该研究中作者采用了更接近实际工况的电动汽车驾驶工况对于电池进行了测试。电池的等效电路模型中则包含一个电压源用来输出电压、一个串联电阻用来模拟电池内阻,一系列的RC电路用来模拟电池的极化特性。
试验中作者采用的电动汽车模型如下图所示,包含电池包、速度控制器、动力模型、电动汽和DC-DC模块。电池充满电后进行模拟测试,采用的测试制度为UDDS,用来模拟电动汽车在城市中的使用工况,US06用来模拟加速较多的暴力驾驶场景,以及HWFET公路燃油经济性测试。

下图为上述的三种测试工况下的电池包电流曲线,单体电池的工作电流则根据电池包的电流获得,这一过程作者忽略了单体电池之间的不均衡的现象。

电池的建模过程需要首先进行测试数据的收集,用来计算模型中的相关参数,并对电池的模型进行检验。为了获得更为详尽的数据,作者采用了两种测试方案对电池进行测试,其中A制度包括电池在1C下的容量,以及脉冲充放电测试等,而B制度则为加速寿命测试,主要是将电池在高温(35-40℃)下进行测试,以加速电池的衰降,从而缩短测试时间。
A制度
该制度主要测试电池的基本特性,例如电池的功率性能、内阻、容量和时间常数等。
电池的1C容量测试制度如下所示
1. 电池以1C倍率恒流充电充电至4.2V,然后4.2V恒压充电至电流下降到0.02C。
2. 电池静置1h,以稳定电池电压和电流。
3. 电池以1C倍率恒流放电至电压下降到2.8V。
4. 电池静置1h。
脉冲测试制度如下所示
1. 电池以1C倍率,恒流恒压方式充满电。
2. 静置1h。
3. 电池以1C的倍率进行脉冲放电,每次放出1%的电池容量,直到电池的SoC值降低到90%,其中两次脉冲之间静置1h。
4. 在90%-10%SoC范围内,每次脉冲放电的容量增加到5%SoC,两次脉冲放电的时间间隔也增加到4h。
5. 在10%-1%的SoC范围内,每次脉冲放电的容量为1%SoC,两次脉冲之间间隔1h。
B制度
该测试主要是为了模拟驾驶员在实际使用中的驾驶工况包含UDDS、US06和HWFET三种驾驶模式,该复合驾驶工况会一直测试到电池荷电状态降低到25%SoC,同时为了加速衰降,作者将测试温度设定在了35-40℃。下图为工作日的驾驶工况曲线。

下图为周末的驾驶工况

下图为B制度下电池在一个使用周期(一周)内的电流、电压和SoC变化,电池在每天结束后充满电(90%SoC),电池的使用SoC范围为25%-90%,电池的电流范围为-2C至2C,电压范围为3.6V-4.2V,


电池在工作日内的SoC、电流和电压的变化如下图所示

电池在周末的SoC、电流和电压如下图所示

常规的等效电路模型一般包含一个电压源、一个电阻和一个RC并联组件,为了提高仿真的精度,我们可以增加RC并联组件的数量,但是RC组件数量的增加则会引起计算复杂程度的增加。在下图中作者分别采用含有1-5个RC并联组件的等效电路进行了模拟测试,从模拟结果可以看到只有一个RC并联组件时模拟的准确度较差,而含有2-5个RC并联组件的等效电路则模拟准确度较好。

下图为分别采用不同数量的RC并联组件后的等效电路在模拟不同衰降阶段的电池在1C脉冲充电后,静置过程中电压变化的结果。从图中我们能够看到,为了更加准确的模拟电池的电压特性,我们至少需要3个RC并联组件,同时我们还注意到寿命末期时为了准确的模拟电池的电压特性,我们需要更为复杂的等效电路。



下图为具有3个并联组件的等效电路模型

作者采用Simscape功能对上述模型进行描述,电池在工作过程中SoC会一直发生变化,因此作者在模型中加入了基于SoC搜索R0值的数据表。

脉冲特性主要包括脉冲充放电的频率和静置时间(如下图所示),这些数据可以用来计算RC并联模块的数值。

下图为一个简单的1个RC并联模块对于电池输出电压的影响。

在对等效电路中的相关参数的计算时,首先需要识别测试数据中的多脉冲充放电和静置数据,作者在这里主要是根据电池电流的变化对电池这些转变点进行识别(如下图所示)。

完成数据识别后需要首先对电路的初始参数进行计算,这里作者主要是根据每次脉冲-静置转变时电压电流的变化值作为输入进行计算。在进行计算过程中作者假设静置过程中所有的元器件的特性是固定的,电源的电压接近在该SoC状态下的开路电压。

下图为根据上述的数据计算得到的电压-SoC和R0-SoC随循环次数的变化曲线。

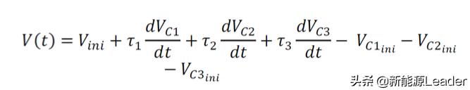
接下来就需要确定等效电路的时间常数,电池的输出电压如下式所示,其中V(t)为随时间变化的输出电压,Vini为静置开始时的电压,VCn为电容器电压,VCn ini为静置开始时电容器的初始电压。

为了对上式中的市场常数的初始值进行计算,作者使用了Matlab软件中的fittype函数进行了模拟,其标准多项式如下所示,其中a1、b1、c1为电容器的初始电压,a2、b2、c2为时间常数,t为时间,Vini为静置开始时的电压。下图为一个拟合结果的示例。


下图为作者通过上述方法在不同的寿命周期和SoC状态下得到的三个时间常数。

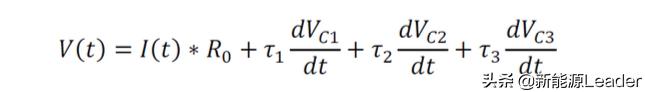
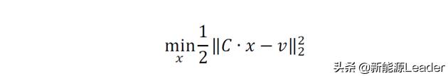
接下来作者尝试对RC并联组件中的电阻值Rn进行求解,如果我们对单独的一个脉冲时间进行分析,则其电压反馈如下式所示,该方程可以通过解线性方程的方式进行求解。

但是作者考虑到在脉冲放电的过程中由于SoC的变化会引起阻抗和电容的变化,因此作者进一步假设在整个的脉冲过程中电流是恒定不变的,因此我们可以将因SoC状态变化引起的参数变化的问题转变为一个线性问题,而该线性问题则可以转变为一个矩阵等式(如下所示),该矩阵的垂直纬度为时间,水平维度为SoC。

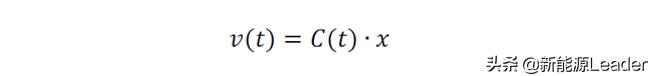
线性方程的优化可以采用下式进行,其中v为随时间变化的电压值,x为需要计算的参数矢量,C为根据查询表得到的贡献比例的矩阵(如下式所示)。


其中参数矢量x如下所示

作者采用Matlab中的最小二乘法函数LSQLIN对参数进行了优化,下图为得到的R1、R2和R3三个参数随SOC和循环时间的变化曲线。


下图为通过上述方法得到的实验结果与仿真结果的对比,从图中我们能够看到在这种情况下我们已经能够得到比较好的拟合效果,接下来作者需要对整体参数进行优化。

作者以电流为输入条件,电压和SoC为输出条件,接下来作者采用Simulink Design Optimization自动的对每次脉冲放电时间进行拟合和仿真,从而优化模型中的参数。下图为对一个脉冲放电进行拟合的数据,可以看到经过参数的进一步优化后,拟合的误差明显降低。

下图为对整个SoC范围内的脉冲放电事件的拟合与时间数据的对比,可以看到相比于优化前,拟合误差出现了明显的减小。

下图为等效电路模型中的参数随SoC和寿命衰降的变化趋势,从下图可以看到随着电池的衰降,模型参数也发生了显著变化,主要体现在两方面:电池内阻R0的增加,引起电池输出功率的衰降,从下图可以看到大约在15周后,R0就增加了1倍,从而使得功率性能降低了1倍,在45周后R0进一步增加到了初始值的3倍,从而导致电池的功率性能进一步下降。时间常数的增加,这可能是由于电极/电解液界面出现了新的相,从而影响了Li+的扩散。

为了验证上述模型的有效性,作者采用B制度驾驶工况下的放电数据对模型进行了训练,下图为模型的拟合结果与实验结果的对比。

作者在这里开发了一个能够根据锂离子电池不同衰降阶段,自动确定参数的等效电路模型,研究表明等效电路模型中的元器件的参数随着电池的衰降会产生较大的变化,同时等效电路的模型架构也需要随着电池衰降程度的不同而有所变化。
本文主要参考以下文献,文章仅用于对相关科学作品的介绍和评论,以及课堂教学和科学研究,不得作为商业用途。如有任何版权问题,请随时与我们联系。
Model-Based Parameter Identification of Healthy and Aged Li-ion Batteries for Electric Vehicle Applications, SAE Int. J. Alt. Power. 4(2):2015, Ahmed, R., Gazzarri, J., Onori, S., Habibi, S. et al.,
文/凭栏眺
标签: hw戒指价格查询表
还木有评论哦,快来抢沙发吧~